Induction Cooker Elite

Half Time Constant Capacitor

Review Half Wave Full Wave Rectifier Rectifier Parameters

Review Half Wave Full Wave Rectifier Rectifier Parameters

Negative Capacitance Or Inductive Loop A General

Negative Capacitance Or Inductive Loop A General

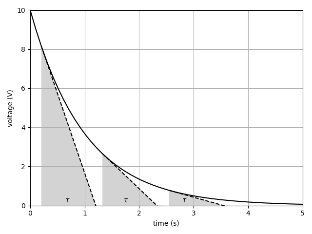
Capacitor Filters

Capacitor Filters


Capacitor Filters
The Time Constant Of An Rc Circuit Pdf Free Download

The Time Constant Of An Rc Circuit Pdf Free Download

06a Rc Circuits A

06a Rc Circuits A

B4 Lab Assignment Phys205101 Studocu

B4 Lab Assignment Phys205101 Studocu

Half Wave Rectifier With Filter

Half Wave Rectifier With Filter

After How Many Time Constants Will The Energy Stored In The

After How Many Time Constants Will The Energy Stored In The

5 Charging And Discharging Of A Capacitor

5 Charging And Discharging Of A Capacitor

2 8 Rectifiers Electronic Circuits

2 8 Rectifiers Electronic Circuits

Capacitors Tutorial 2

Capacitors Tutorial 2

Op Amp Integrator Circuit Design And Applications

Op Amp Integrator Circuit Design And Applications

Why Is The Time Constant 63 2 And Not 50 Or 70

Why Is The Time Constant 63 2 And Not 50 Or 70

Lab 4 Charge And Discharge Of A Capacitor

Lab 4 Charge And Discharge Of A Capacitor

A Charged Capacitor Is Connected To A Resistor And A Switch As In The Figure Below The Circuit Has

A Charged Capacitor Is Connected To A Resistor And A Switch As In The Figure Below The Circuit Has

Comments